Ответы
Ответ дал:
2
Ответ:
Пошаговое объяснение:
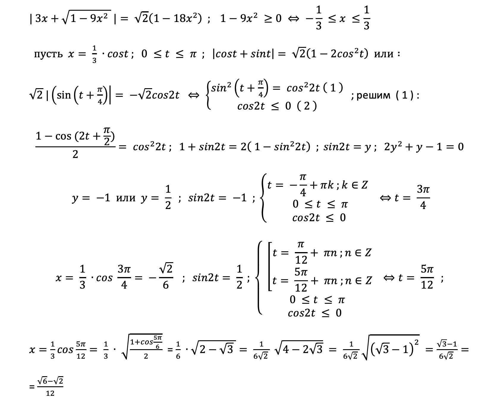
!!!!!!!!!!!!!!!!!!!!!!!!!!!!!!
Приложения:





bb573878:
спасибо
Ответ дал:
3
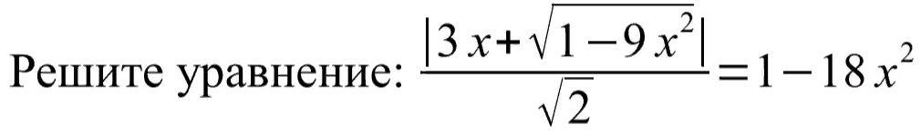
Ответ:
//////////////////////////////////////////////
Пошаговое объяснение:
Приложения:

Вас заинтересует
2 года назад
3 года назад
3 года назад
9 лет назад