Ответы
Ответ дал:
1
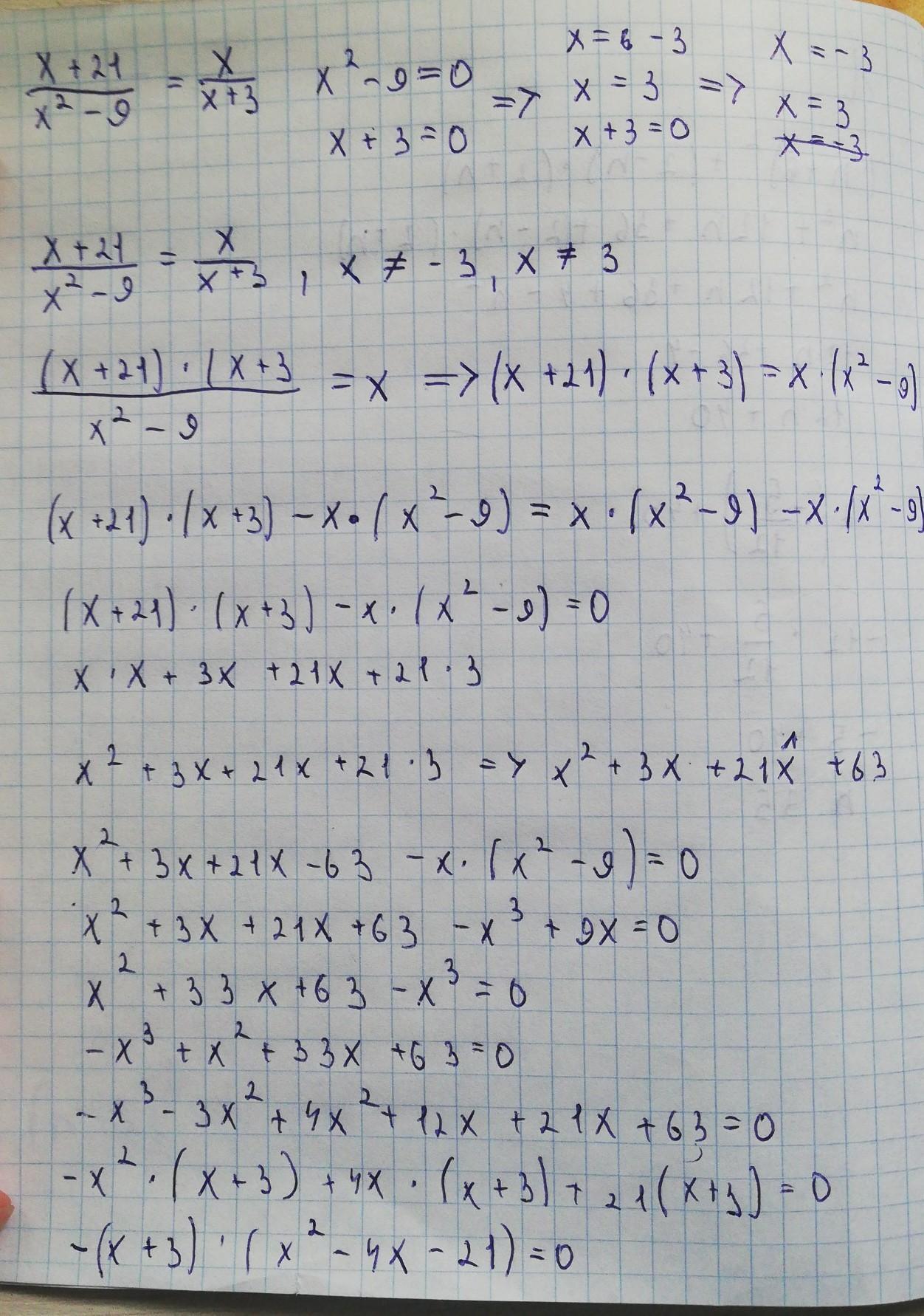
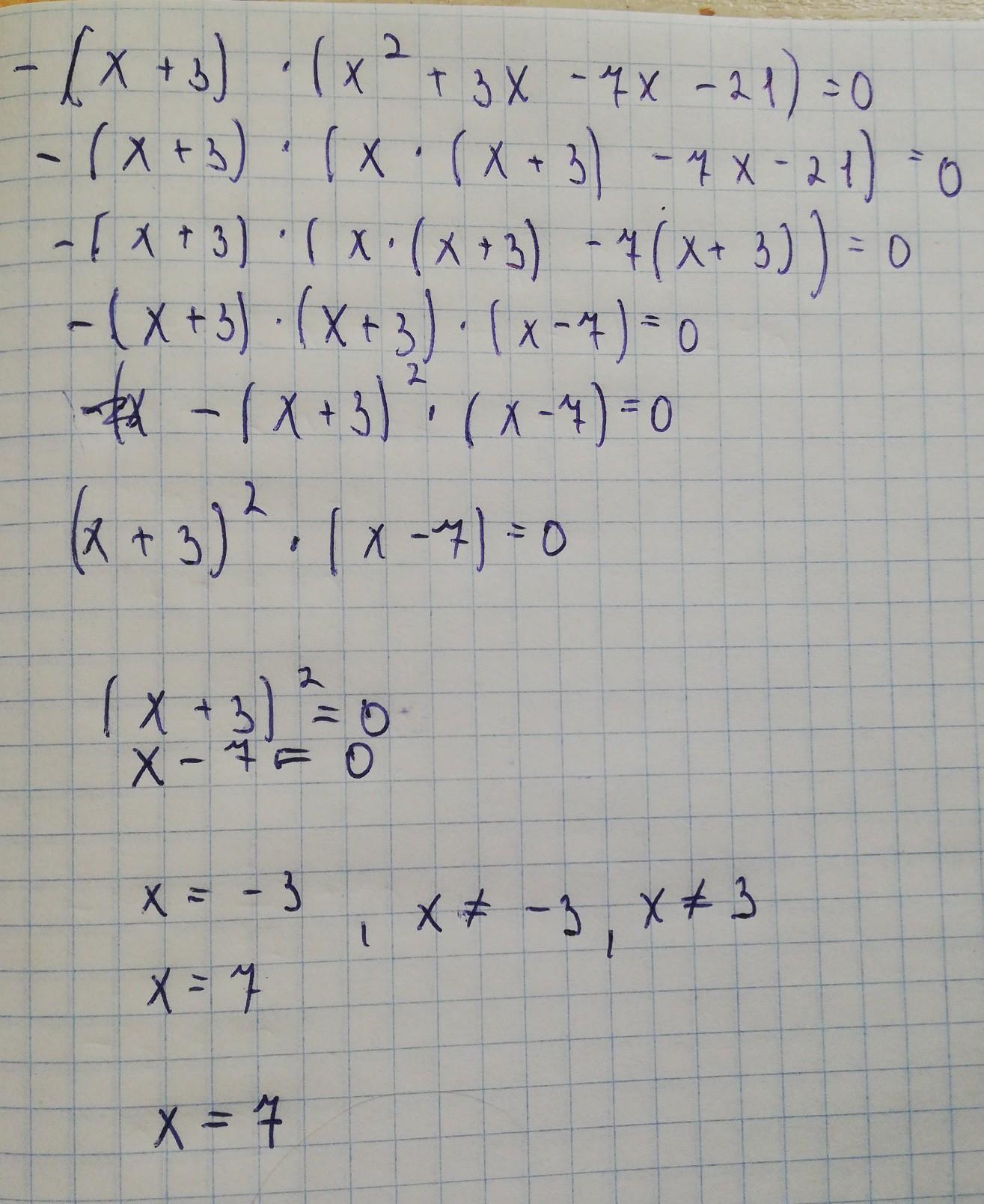
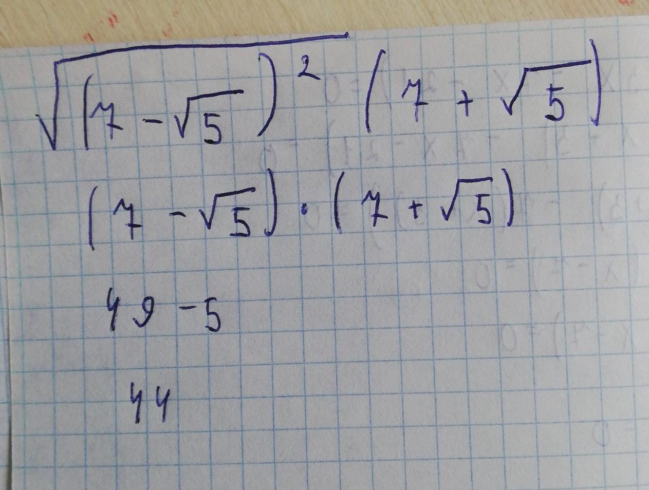
Ответ:С1) x = 7C2) 44Объяснение:Решение в преклепленном к решению фото, C3 решить не могу,устал
Приложения:



avstralid:
Спасибо за ответ!
Ответ дал:
2
Объяснение:
вот...... .. ...........
Приложения:

Вас заинтересует
2 года назад
2 года назад
8 лет назад
8 лет назад
9 лет назад