• Предмет: Математика
  • Автор: ankakirsa28
  • Вопрос задан 8 лет назад

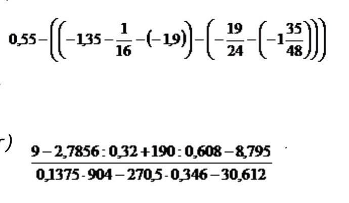
Помогите пожалуйста с этими 2 примерами ​

Приложения:

Dima303578: Класс какой? И каким способом решить?

Ответы

Ответ дал: tatsach
0

Ответ:

Пошаговое объяснение:

Приложения:
Вас заинтересует