33. Используя теорему, обратную теореме Виета, найдите корни квадратного уравнения: 1) х2 – 10x + 24 = 0; 2) х2 – 11х + 24 = 0; 3) x2 - 12x + 27 = 0; 4) х2 + 11х + 24 = 0; 5) x2 + 42x + 441 = 0; 6) х2 + 14х – 32 = 0;
Ответы
Ответ дал:
16
Объяснение:
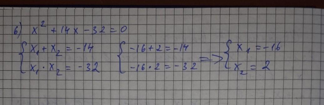
См. на приложенном рисунке
Приложения:


sasha0573:
Точно правильно?
Вас заинтересует
2 года назад
2 года назад
3 года назад
3 года назад
8 лет назад
8 лет назад
9 лет назад
9 лет назад