• Предмет: Математика
  • Автор: Kristinyska
  • Вопрос задан 8 лет назад

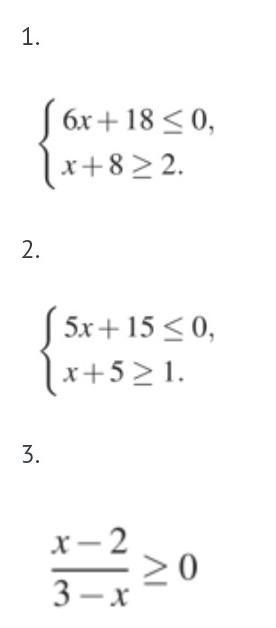
помогите пожалуйста
решить неравенства​

Приложения:

Ответы

Ответ дал: Vopoxov
1

Ответ:

1)

1) \:  \: x \in [-8;  - 3] \\ 2) \:  \: x \in [-4;  - 3] \\ 3)  \: \:   \: x \in [2; 3)  \quad

Приложения:

Kristinyska: спасибо большое)
Вас заинтересует