• Предмет: Алгебра
  • Автор: lera3799
  • Вопрос задан 8 лет назад

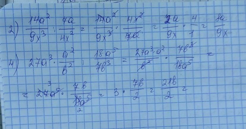
выполните действия над дробями пожалуйста помогите ​

Приложения:

Ответы

Ответ дал: elena090199
1

оооооооооооооооооооо

Приложения:
Ответ дал: darinafilatova26
0

Объяснение:

оооооооооооооооооооооооо

Приложения:
Вас заинтересует