• Предмет: Алгебра
  • Автор: franksterik
  • Вопрос задан 8 лет назад

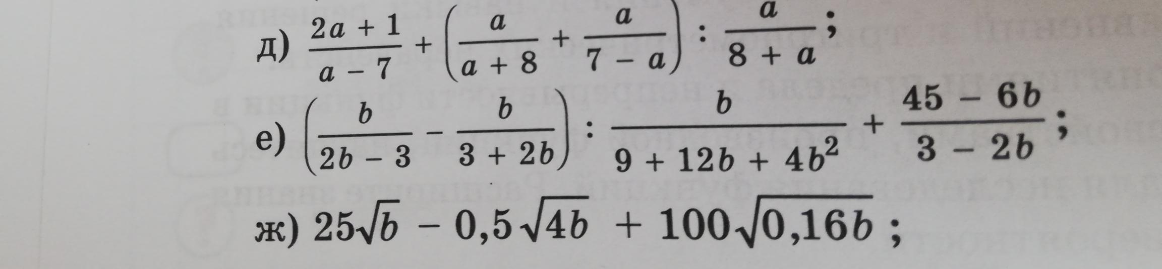
Упростите выражение
Выполните только Д и Ж пожалуйста

Приложения:

Ответы

Ответ дал: Gimngazia
0

д) \frac{2a+1}{a-7} +(\frac{a}{a+8} +\frac{a}{7-a}) : \frac{a}{8+a} = \frac{2a+1}{a-7} +\frac{a(7-a)+a(a+8)}{(a+8)(7-a)} : \frac{a}{8+a} = \frac{2a+1}{a-7} +\frac{7a-a^2+a^{2} +8a}{(a+8)(7-a)} * \frac{a+8}{a} = \frac{2a+1}{a-7} + \frac{15a}{a(7-a)} = -\frac{2a-1}{7-a} +\frac{15}{7-a} =\frac{-2a-1+15}{7-a} = \frac{14-2a}{7-a} =\frac{2(7-a)}{7-a} =2

ж) 25\sqrt{b} -0,5\sqrt{4b} +100\sqrt{0,16b} =25\sqrt{b} -0,5*2\sqrt{b} +100\sqrt{\frac{4}{25} b} = 25\sqrt{b} -\sqrt{b} +100*\frac{2}{5} \sqrt{b} =25\sqrt{b} -\sqrt{b} +40\sqrt{b} =(25-1+40)\sqrt{b} =64\sqrt{b}

Вас заинтересует