Ответы
Ответ дал:
1
Объяснение:
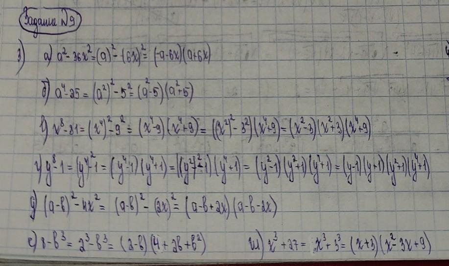
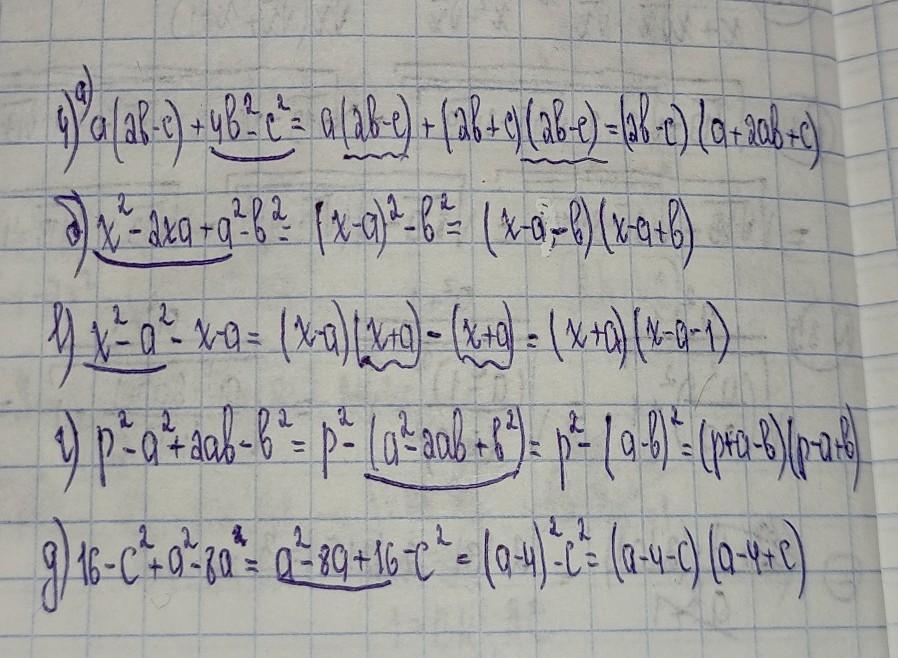
Решение представлено на фото)
Использовались формулы ФСУ:
a²-b² = (a-b)(a+b)
a²-2ab+b² = (a-b)²
a³-b³ = (a+b)(a²-ab+b²)
a³+b³ = (a-b)(a²+ab+b²)
Приложения:


Вас заинтересует
2 года назад
3 года назад
8 лет назад
9 лет назад