• Предмет: Алгебра
  • Автор: Аноним
  • Вопрос задан 8 лет назад

Поиогите пожалуйста срочно!! ​

Приложения:

Ответы

Ответ дал: farmanmehtiyev
1

ответ:

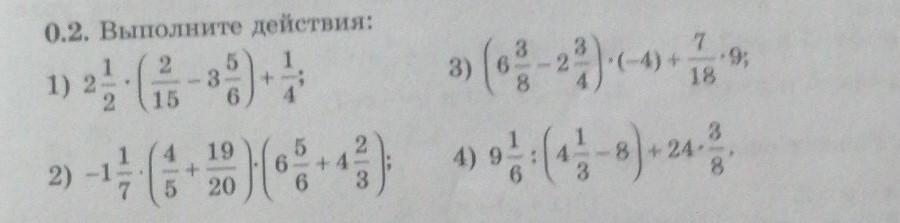
1) -9

2) -23

3) -11

4) 6,5

Вас заинтересует