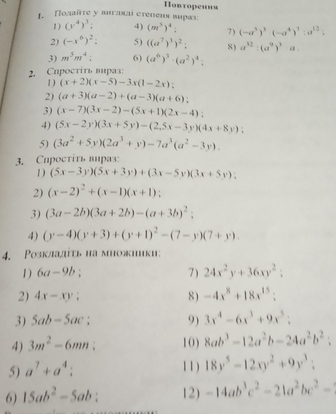
• Предмет: Алгебра
  • Автор: allo20182808th
  • Вопрос задан 8 лет назад

допоможіть будь ласка дам 30 балов​

Приложения:

Ответы

Ответ дал: bbbapho
0

1 задание

 {( {y}^{4} )}^{3}  =  {y}^{4 \times 3}  =  {y}^{12}

 {(  { - x}^{6} )}^{2}  =  -  {x}^{6 \times 2}  =  {  x}^{12}

 {m}^{5}  {m}^{4}  =  {m}^{5 + 4}  =  {m}^{9}

 {( {m}^{5} )}^{4}  =  {m}^{5 \times 4}  =  {m}^{20}

 {( {( {a}^{7} )}^{3} )}^{2}  =  {( {a}^{7 \times 3} )}^{2}  =  {a}^{21 \times 2}  =  {a}^{42}

 {( {a}^{6} )}^{3}   \times  {( {a}^{2} )}^{4}  =  {a}^{6 \times 3}  \times  {a}^{2 \times 4}  =  {a}^{18 + 8}  =  {a}^{26}

 {a}^{32}  \div  {( {a}^{9} )}^{3}  \times a =  {a}^{32}  \div  {a}^{9 \times 3}  \times  {a}^{1}  =  {a}^{32}  \div  {a}^{27}  \times  {a}^{1}  =  {a}^{32 - 27}  \times  {a}^{1}  =  {a}^{5}  \times  {a}^{1}  =  {a}^{5 + 1}  =  {a}^{6}

2 задание

(x  + 2)(x - 5) - 3x(1 - 2x) =  {x}^{2}  - 5x + 2x - 10 - 3x + 6 {x}^{2}  = 7 {x}^{2}  - 6x - 10

(a + 3)(a - 2) + (a - 3)(a + 6) =  {a}^{2}  - 2a + 3a - 6 +  {a}^{2}  + 6a - 3a - 18 = 2 {a}^{2}  + 4a - 24

(x - 7)(3x - 2) - (5x + 1)(2x - 4) = 3 {x}^{2}  - 2x - 21x + 14 - 1 0{x}^{2}  + 20x - 2x + 4 =  - 7 {x}^{2}  - 5x + 18

(5x - 2y)(3x + 5y) - (2.5x - 3y)(4x + 8y) = 15 {x}^{2}  + 25xy - 6xy - 10 {y}^{2}  - 10 {x}^{2}  - 20xy + 12xy + 24 {y}^{2}  = 5 {x}^{2}  + 11xy + 14 {y}^{2}

(3 {a}^{2}  + 5y)(2 {a}^{3}  + y)  - 7 {a}^{3} ( {a}^{2}  - 3y) = 6 {a}^{5}  + 3 {a}^{2} y + 10 {a}^{3} y + 5  {y}^{2}  - 7 {a}^{5}  + 21 {a}^{3} y =  -  {a}^{5}  + 31 {a}^{3} y + 3 {a}^{2} y + 5 {y}^{2}

3 задание

(5x - 3y)(5x + 3y) + (3x - 5y)(3x + 5y) =  {(5x)}^{2}  +  {(3y)}^{2}  +  {(3x)}^{2}  +  {(5y)}^{2}  = 25 {x}^{2}  + 9 {y}^{2}  + 9 {x}^{2}  + 25 {y}^{2}  = 34 {x}^{2}  + 34 {y}^{2}

 {(x - 2)}^{2}  + (x - 1)(x + 1) =  {x}^{2}  - 4x + 4 +  {x}^{2}  + 1 = 2 {x}^{2}  - 4x + 5

(3a - 2b)(3a + 2b) -  {(a + 3b)}^{2}  =  {(3a)}^{2}  +  {(2b)}^{2}  -  {a}^{2}  - 6ab - 9 {b}^{2}  = 9 {a}^{2}  + 4 {b}^{2}  -  {a}^{2}  - 6ab - 9 {b}^{2}  = 8 {a}^{2}  - 6ab - 5 {b}^{2}

(y - 4)(y + 3) +  {(y + 1)}^{2}  - (7 - y)(7 + y) =  {y}^{2}  + 3y - 4y - 12 +  {y}^{2}  + 2y + 1 - 14 -  {y}^{2}  =  {y}^{2}  + y - 25

4 задание

6a - 9b = 3(2a - 3b)

4x - xy = x(4 - y)

5ab - 5ac = 5a(b - c)

3 {m}^{2}  - 6mn = 3m(m - 2n)

 {a}^{7}  +  {a}^{4}  =  {a}^{4} ( {a}^{3}  + 1)

15a {b}^{2}  - 5ab = 5ab(3b - 1)

24 {x}^{2} y + 36x {y}^{2}  = 12xy(2x + 3y)

 - 4 {x}^{8}  + 18 {x}^{15}  =  - 2 {x}^{8} (2 - 9 {x}^{7} )

3 {x}^{4}  - 6 {x}^{3}  + 9 {x}^{5}  = 3 {x}^{3} (x - 2 + 3 {x}^{2} )

Вас заинтересует