• Предмет: Алгебра
  • Автор: anirakdkl
  • Вопрос задан 8 лет назад

Пожалуйста, очень срочно, помогите решить уравнение:
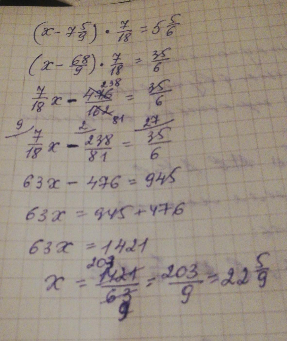
(х-7 5/9)•7/18=5 5/6​

Ответы

Ответ дал: larisaserova53
1

Ответ:

Смотри решение на фото выше

Приложения:

anirakdkl: спасибо огромное
Вас заинтересует