• Предмет: Алгебра
  • Автор: Marta200666
  • Вопрос задан 8 лет назад

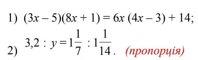
Решите пожалуйста! 7 клас!! ​

Приложения:

Ответы

Ответ дал: Innochka098
1

Объяснение:

Если что-то будет непонятно - спрашивай. Тут тупая система ввода, так что решение на фото

Приложения:

Marta200666: спасибо большое!!
Innochka098: Обращайся <3
Marta200666: тогда если вам не сложно в вопросах у меня есть ещё одно уравнение. Буду рада если поможете..
Innochka098: Конечно!
Вас заинтересует