Ответы
Ответ дал:
0
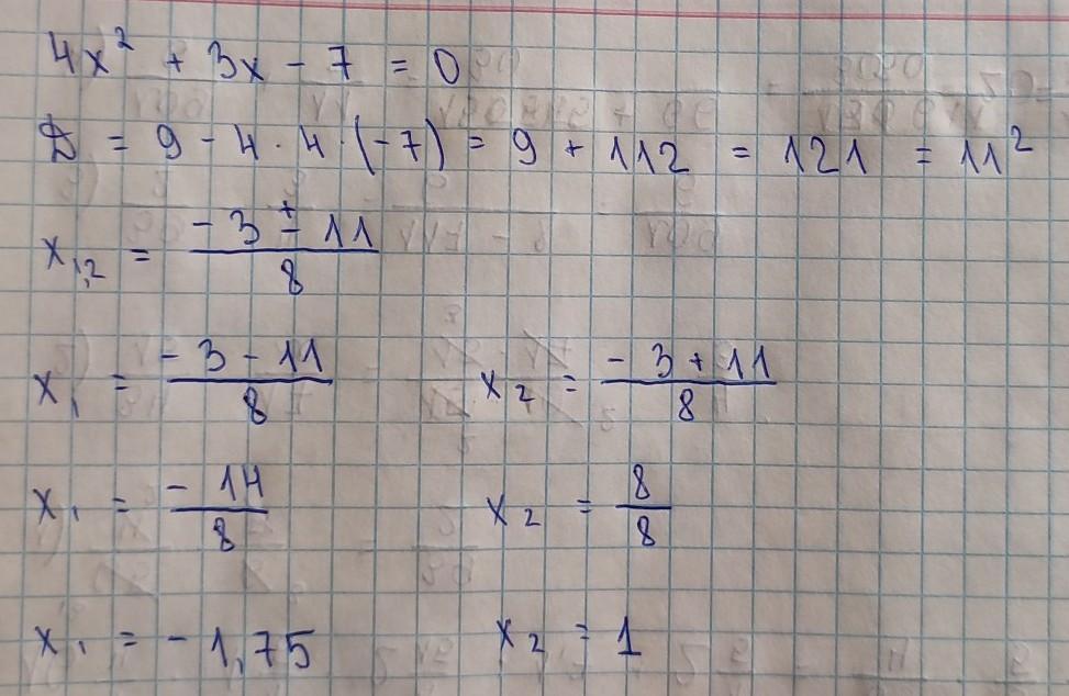
Ответ:
x1=1
x2=-1 3/4
Объяснение:
это квадратное уравнение, решается через дискриминант
D=9+112=121
x1= (-3+11)/8=1
x2=(-3-11)/8=-14/8=-7/4=-1 3/4
Ответ дал:
1
Ответ:
1 ; -1,75
Объяснение:
Мне проще фоткой решение отправить, так что если что-то не понятно будет - спрашивай
Приложения:

Вас заинтересует
2 года назад
2 года назад
3 года назад
8 лет назад
8 лет назад
9 лет назад