Помогиииииите
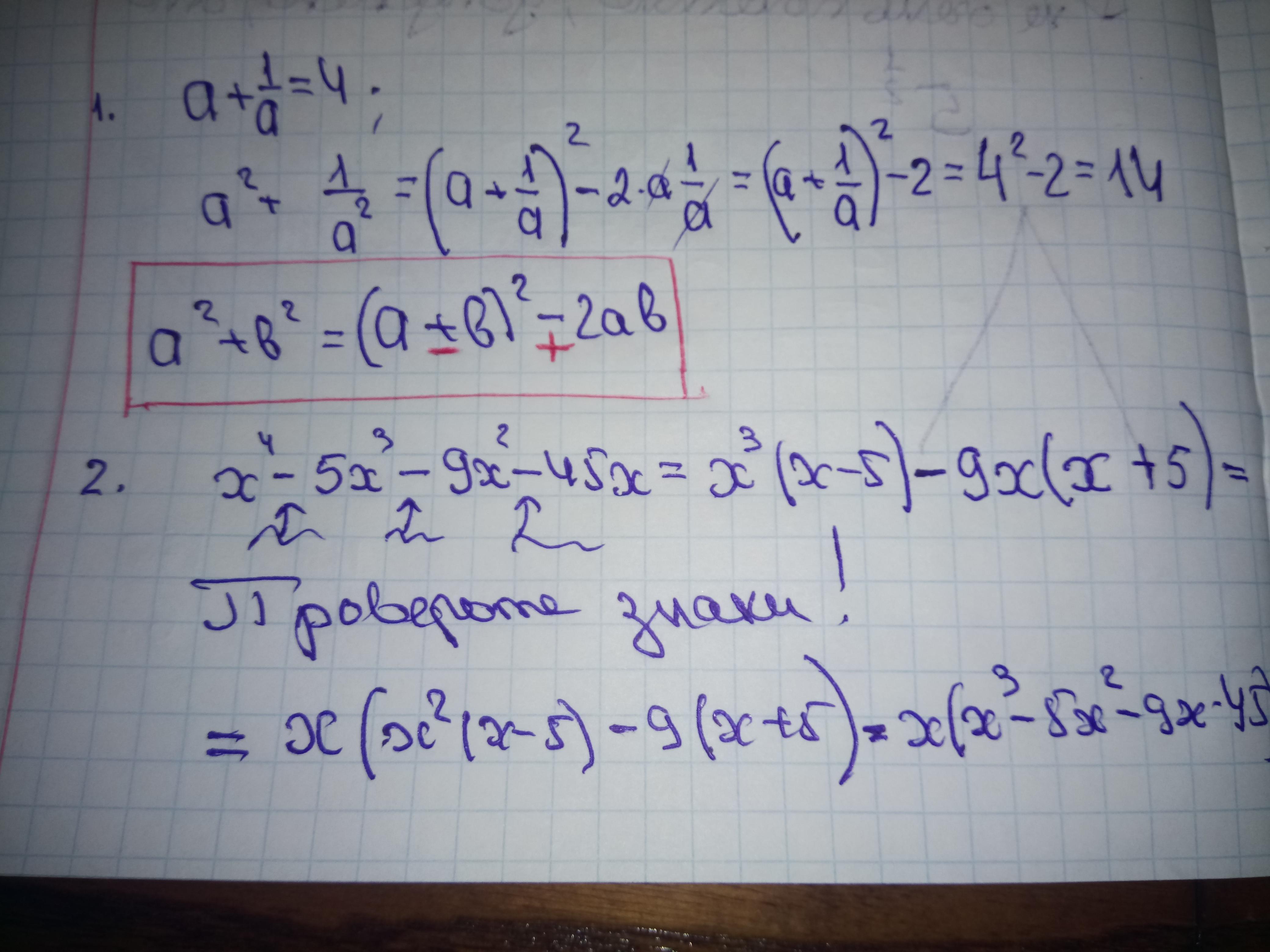
1,известно что
a+1/a =4
Решите
a^2+(1/a^2)
2, разложите на множители
х^4-5х^3-9х^2-45х=
Ответы
Ответ дал:
0
Решение задания прилагаю. Во 2. Проверьте условие.
Приложения:

Вас заинтересует
2 года назад
2 года назад
3 года назад
3 года назад
8 лет назад
8 лет назад
9 лет назад