• Предмет: Математика
  • Автор: evak9996
  • Вопрос задан 8 лет назад

помогите решить пожалуйста
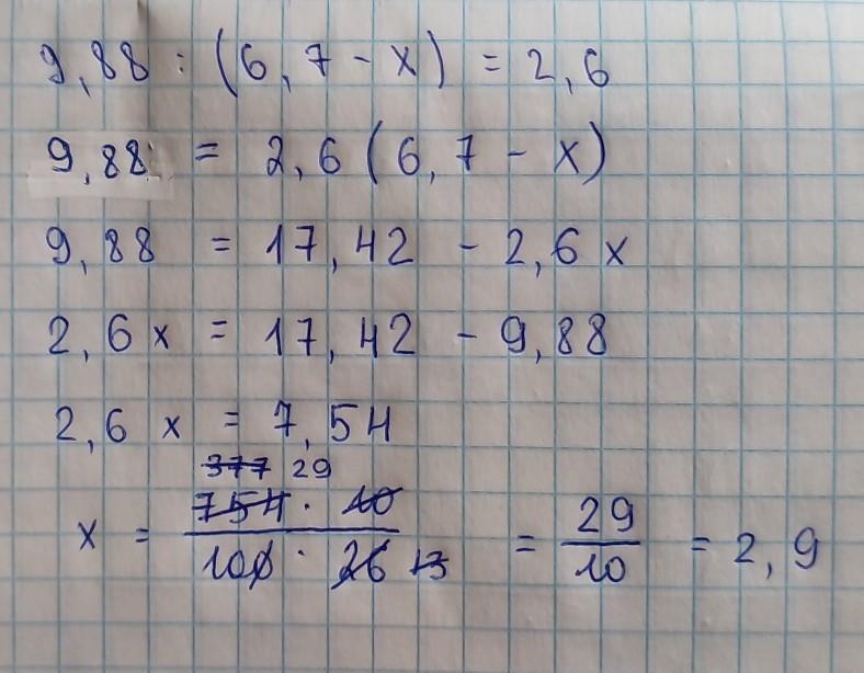
9,88:(6, 7-X) =2, 6​

Ответы

Ответ дал: Innochka098
1

Ответ:

2,9

Пошаговое объяснение:

Если что - спрашивай, от руки проще писать

Приложения:

evak9996: спасибо огромное
Innochka098: рада помочь <3
Ответ дал: saidaisayeva00
1
6,7-x=9,88:2,6
6,7-x=3,8
X=6,7-3,8
X=2,9

evak9996: спасибо огромное)
Вас заинтересует