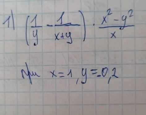
Помогите,буду рад вам
Приложения:

elizavetushka98:
у вас у=0,2 или -0,2?
Ответы
Ответ дал:
1
Ответ:
,
Пошаговое объяснение:
Ответ дал:
1
Ответ:
-6
Пошаговое объяснение:
Приложения:

Вас заинтересует
2 года назад
2 года назад
3 года назад
3 года назад
8 лет назад
9 лет назад