• Предмет: Геометрия
  • Автор: Аноним
  • Вопрос задан 8 лет назад

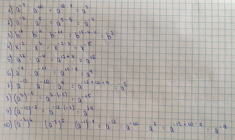
Помогите срочно пожалуйста 1-10​

Приложения:

Ответы

Ответ дал: Innochka098
1

Объяснение:

Подробное решение на фото

Приложения:

Аноним: СПАСИБО ОГРОМНОЕ
Innochka098: <3
Innochka098: обращайся
Вас заинтересует