• Предмет: Алгебра
  • Автор: rrir696
  • Вопрос задан 8 лет назад

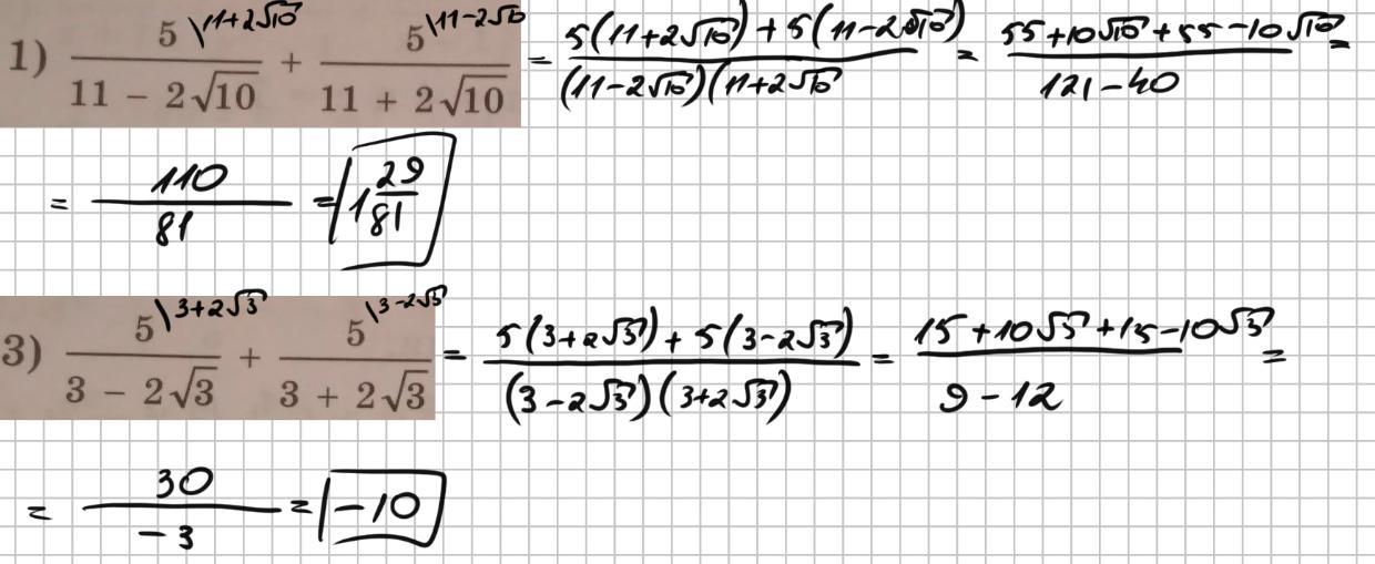
найдите значение числового выражения​

Приложения:

Ответы

Ответ дал: Ilyazov45
1

----------------------

Приложения:
Вас заинтересует