Ответы
Ответ дал:
1
Ответ:
доказанно
Пошаговое объяснение:
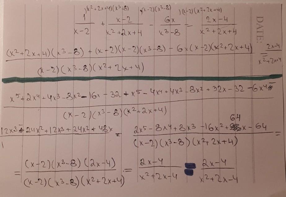
то что под зеленой линией это мучительные вычисления
P.S. Уверен, можно было сделать проще, но у меня не вышло, пока только так
Приложения:

nazzzikyusubova:
спасиибо
Вас заинтересует
2 года назад
3 года назад
3 года назад
8 лет назад
9 лет назад