• Предмет: Математика
  • Автор: vorobey82
  • Вопрос задан 8 лет назад

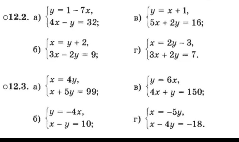
ПОЖАЛУЙСТА. СИСТЕМЫ УРАВНЕНИЙ.МЕТОД ПОДСТАНОВКИ. ФОТО ПРИКРЕПЛЕНО​

Приложения:

Ответы

Ответ дал: Innochka098
1

Пошаговое объяснение:

Подробное решение на фото

Приложения:

Innochka098: Если не сложно, можешь выбрать лучший ответ
vorobey82: пока у меня нет "лучшего ответа" там на сколько я знаю, должно быть 2 и более ответов
vorobey82: ну если появится, то конечно поставлю) большое спасибо!
Innochka098: и тебе спасибо <3
Innochka098: если что - обращайся
Вас заинтересует