пожалуйста помогите, дам макс баллов!!
Приложения:

Ilyazov45:
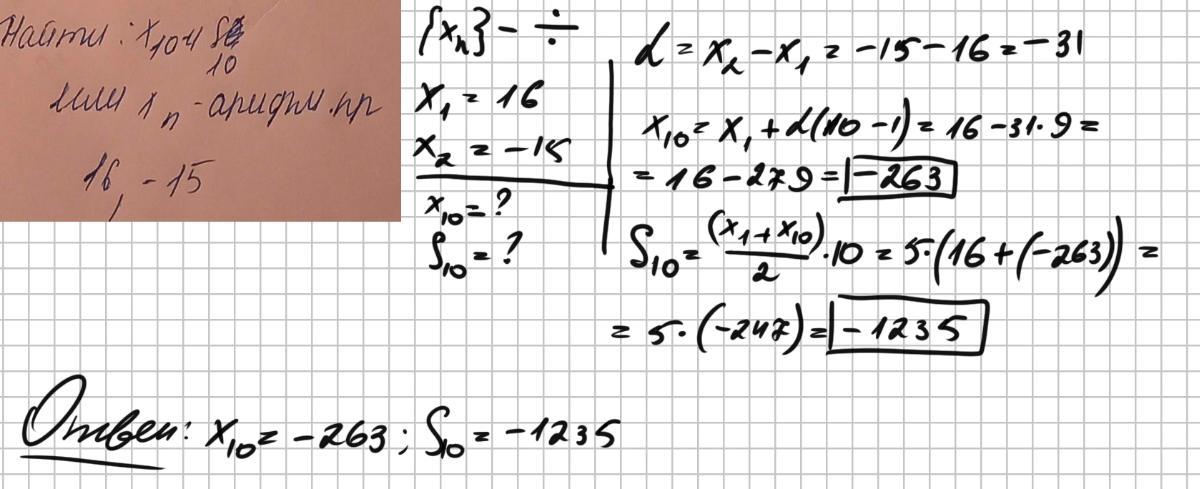
во второй задаче написано x_(10)*4S_(10)?
Ответы
Ответ дал:
1
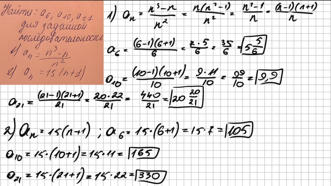
РЕШЕНИЕ ЗАДАНИЯ ПРИЛАГАЮ
Приложения:


Ответ дал:
0
------------------------
Приложения:


Вас заинтересует
2 года назад
2 года назад
3 года назад
8 лет назад
9 лет назад