Ответы
Ответ дал:
2
Ответ:
{(-2;-1);(2;1)}
Объяснение:
-------------------------------------
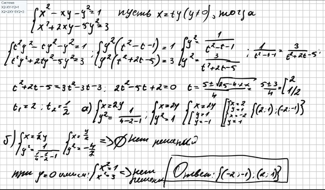
Приложения:

mathgenius:
Бородатая задачка, умножаем первое на 3 и вычитаем второе, тем самым получив однородное уравнение, что решается делением на y^2 и заменой: x/y = t
Ответ дал:
0
Ответ:
(-2;-1), (2;1)
Объяснение:
x²-xy-y²=1
x²+2xy-5y²=3=3(x²-xy-y²)=3x²-3xy-3y²
x²+2xy-5y²=3x²-3xy-3y²
x²+2xy-5y²-3x²+3xy+3y²=0
-2x²+5xy-2y²=0
2x²-5xy+2y²=0
2x²-4xy-xy+2y²=0
2x(x-2y)-y(x-2y)=0
(x-2y)(2x-y)=0
1) x-2y=0
x=2y
x²-xy-y²=1
(2y)²-2yy-y²=1
4y²-2y²-y²=1
y²=1
y₁=1; x₁=2
y₂=-1; x₂=-2
2) 2x-y=0
y=2x
x²-xy-y²=1
x²-x·2x-(2x)²=1
x²-2x²-4x²=1
-5x²=1
x²=-0,2<0
Вас заинтересует
2 года назад
2 года назад
3 года назад
3 года назад
8 лет назад
8 лет назад
9 лет назад