• Предмет: Математика
  • Автор: hdjsjsjs84
  • Вопрос задан 8 лет назад

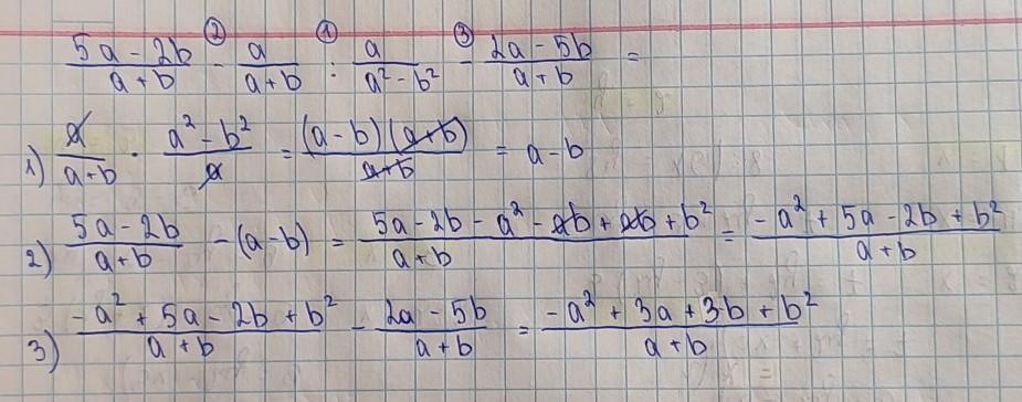
Решите примерчик пожалуйста

Приложения:

Kummiho: Сейчас слишком поздно для того что бы мешать кому-то задания,если найду ваше задание то постараюсь завтра сделать его. Благодарю за понимание, спокойной ночи
Kummiho: *решать

Ответы

Ответ дал: Innochka098
0

Пошаговое объяснение:

Наверное как-то так...

Приложения:
Вас заинтересует