• Предмет: Алгебра
  • Автор: mapsayulto
  • Вопрос задан 8 лет назад

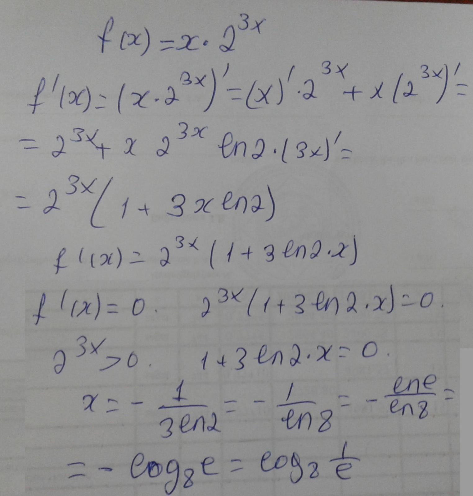
Помогите пожалуйста не могу решить

Приложения:

Аноним: Уже другой ник.
ramilchmo123: помоги пожалуйста

Ответы

Ответ дал: Matematiktm
0

Ответ:

Объяснение:

Resheno

Приложения:
Ответ дал: Аноним
0

Решение задания прилагаю

Приложения:
Вас заинтересует