• Предмет: Алгебра
  • Автор: iluha160908e
  • Вопрос задан 8 лет назад

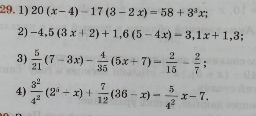
помогите пожалуйста срочно

Приложения:

Ответы

Ответ дал: oksik1970
1

Объяснение:

подробное решение смотри на фото

Приложения:

oksik1970: все ответы верные, не сомневайся. все перепроверила
iluha160908e: спасибо большое тебе удачи в учеме
Вас заинтересует