• Предмет: Алгебра
  • Автор: evgenua7905
  • Вопрос задан 8 лет назад

Помогите с объяснением пожалуйста ​

Приложения:

Ответы

Ответ дал: palilov243659
1

Ответ:

Объяснение:

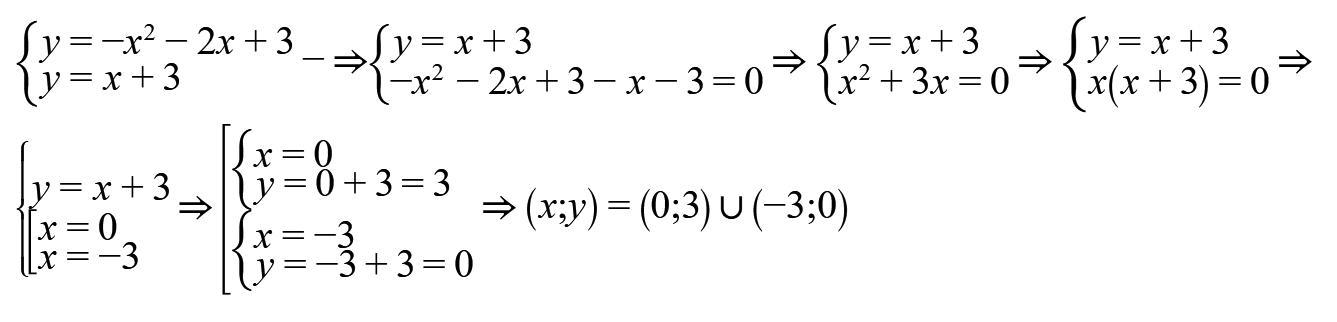
метод Гаусса: от первого уравнения отнимаем второе

Приложения:
Вас заинтересует