• Предмет: Алгебра
  • Автор: kuforovadiana
  • Вопрос задан 8 лет назад

5^2-x^2=0 Решите уравнение​

Ответы

Ответ дал: arinchikd
0

Ответ:

Объяснение:

5²-x²=0

25-x²=0

-x²=-25

x²=25

x₁=√25=5

x₂=-√25=-5

Ответ дал: Innochka098
0

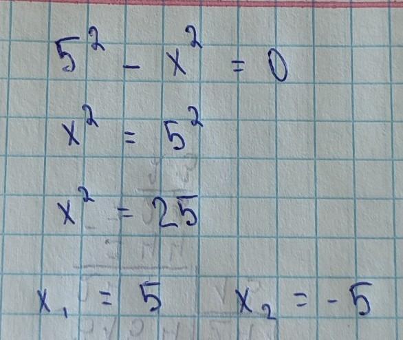
Объяснение:

Подробное решение на фото

Приложения:
Вас заинтересует