• Предмет: Алгебра
  • Автор: skiny3
  • Вопрос задан 8 лет назад

решить только в квадрате ​

Приложения:

skiny3: где ответы

Ответы

Ответ дал: Хуqожнuк
2

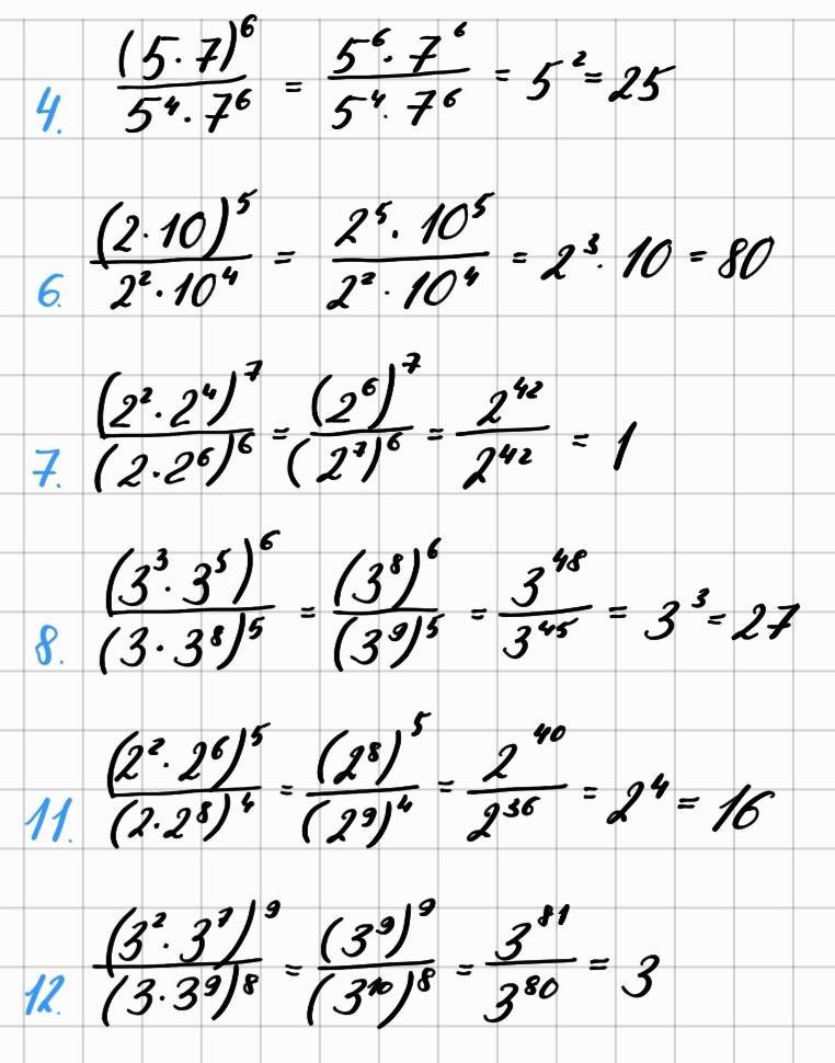
Решение во вложении.

Приложения:

skiny3: спасибо за ответ
Хуqожнuк: Рада помочь:)
Вас заинтересует