Ответы
Ответ:
Пошаговое объяснение:
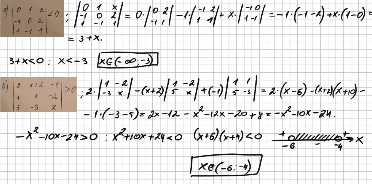
2 . а ) | 0 1 x |
|- 1 0 2 | < 0 ; розписуємо цей визначник :
| 1 - 1 1 |
| 0 1 x |
|- 1 0 2 | = 0 + x + 2 + 0 + 0 + 1 < 0 ;
| 1 - 1 1 | x + 3 < 0 ;
x < - 3 . В - дь : ( - ∞ ; - 3 ) .
б ) | 2 x+ 2 - 1 |
| 1 1 - 2 | > 0 ; розписуємо цей визначник :
| 5 - 3 x |
| 2 x+ 2 - 1 |
| 1 1 - 2 | = 2x + 3 - 10( x + 2 ) + 5 - 12 - x( x + 2 ) > 0 ;
| 5 - 3 x | 2x + 3 - 10x - 20 + 5 - 12 - x² - 2x > 0 ;
- x² - 10x - 24 > 0 ;
x² + 10x + 24 < 0 ;
D = 4 > 0 ; x ₁= - 6 ; x ₂= - 4 ; xЄ ( - 6 ; - 4 ) .
В - дь : ( - 6 ; - 4 ) .
-----------------------------
