• Предмет: Алгебра
  • Автор: skulimovskaiamaria
  • Вопрос задан 8 лет назад

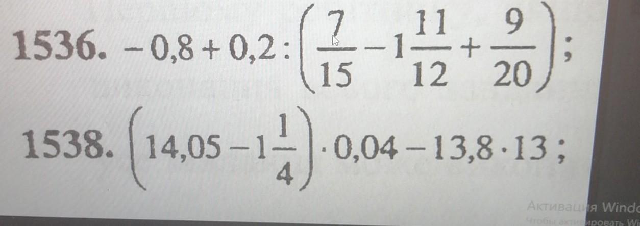
Допоможіть вирішить дуже потрібно

Приложения:

Ответы

Ответ дал: belivett
1

Ответ:

решение на фотографии

Объяснение:

переводим мешанные дроби в неправильные, а десятичные дроби в обычные.

Приложения:
Вас заинтересует