• Предмет: Алгебра
  • Автор: alinahimion
  • Вопрос задан 8 лет назад

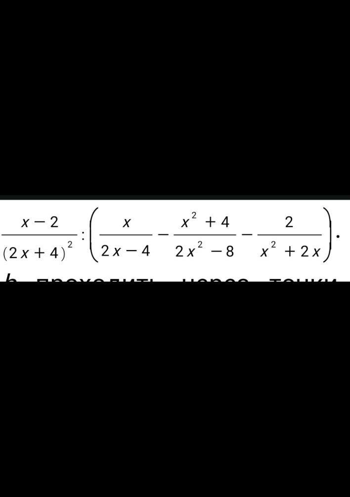
помогите пожалуйста.​

Приложения:

Ответы

Ответ дал: abukovnazmit
0

Ответ:

х-4 48748-₽64ркспгщшзщоп

Вас заинтересует