Ответы
Ответ дал:
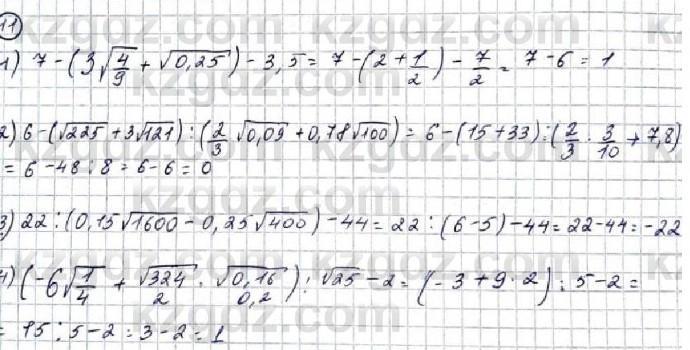
1
Объяснение:
думаю вот так если нужна подробнее могу скинуть куда-то
Приложения:

snezacudesatova:
извини, не могла бы помочь с другими заданиями ?((
Ответ дал:
1
ответ правиильный.11, 2 и 4
Приложения:

Вас заинтересует
2 года назад
2 года назад
3 года назад
9 лет назад