• Предмет: Математика
  • Автор: alex2864
  • Вопрос задан 8 лет назад

Как решить эти примеры ?
пропустил один день, теперь не могу понять как это делать?
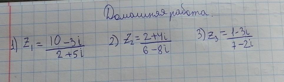
Комплексные числа.​

Приложения:

LFP: домножать и числитель и знаменатель на сопряженное выражение (получим формулу разность квадратов, как и для иррациональных выражений)) для 2+5i сопряженное 2-5i... произведение: 4-25i^2 = 4+25 = 29... i^2 = -1

Ответы

Ответ дал: pushpull
1

Ответ:

Пошаговое объяснение:

чтобы выполнить деление комплексных чисел, надо домножить  числитель и знаменатель на выражение, сопряженное к знаменателю. ну а потом в знаменателе получится целое число и полученную дробь привести к виду комплексного числа

1)

\displaystyle \frac{10-3i}{2+5i} =\frac{(10-3i)(2-5i)}{(2+5i)(2-5i)} =\frac{20-50i-6i+15i^2}{2^-(5i)^2} =\\\\=\frac{20-15-56i}{4+25} =\frac{5}{29} -\frac{56}{29} i

\displaystyle z_1=\frac{5}{29} -\frac{56}{29} i

2)

\displaystyle \frac{2+4i}{6-8i} =\frac{2(1+2i)}{2(3-4i)} =\frac{(1+2i)(3+4i)}{(3-4i)(3+4i )} =\frac{3+4i+6i+8i^2}{3^2-(4i)^2} =-\frac{5}{25} +\frac{10}{25} i\\\\z_2=-\frac{1}{5} +\frac{2}{5} i=-0.2+0.4i

3)

\displaystyle \frac{1-3i}{7-2i} = \frac{(1-3i)(7+2i)}{(7-2i)(7+2i)} =\frac{7+2i-21i-6i^2}{49+4} =\frac{13}{53} -\frac{19}{53} i\\\\z_3=\frac{13}{53} -\frac{19}{53} i


alex2864: Спасибо огромное за понятное объяснение!
pushpull: пожалуйста -))))
Вас заинтересует