Ответы
Ответ дал:
1
Пошаговое объяснение:
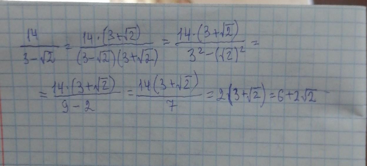
14/(3-корень2)=
=(14×(3+корень2))/((3-корень2)(3+корень2))=
=(14×(3+корень2))/(3^2-(корень2)^2)=
=(14×(3+корень2))/(9-2)=
=(14×(3+корень2))/7=2×(3+корень2)
=6+2корень2
Приложения:

Аноним:
помогите. в тетради
Вас заинтересует
2 года назад
3 года назад
8 лет назад
8 лет назад
9 лет назад