• Предмет: Алгебра
  • Автор: shadievaziyada
  • Вопрос задан 8 лет назад

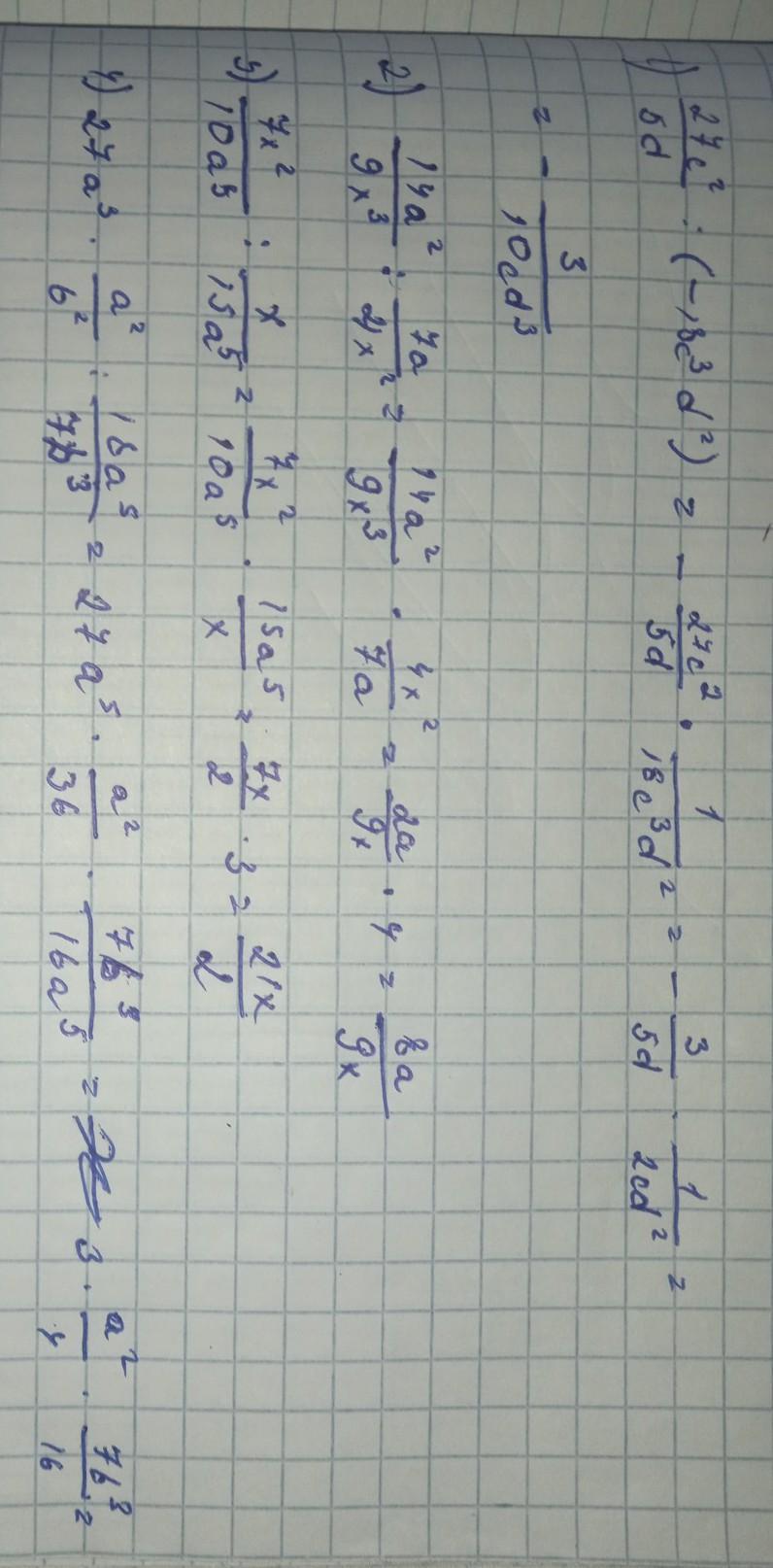
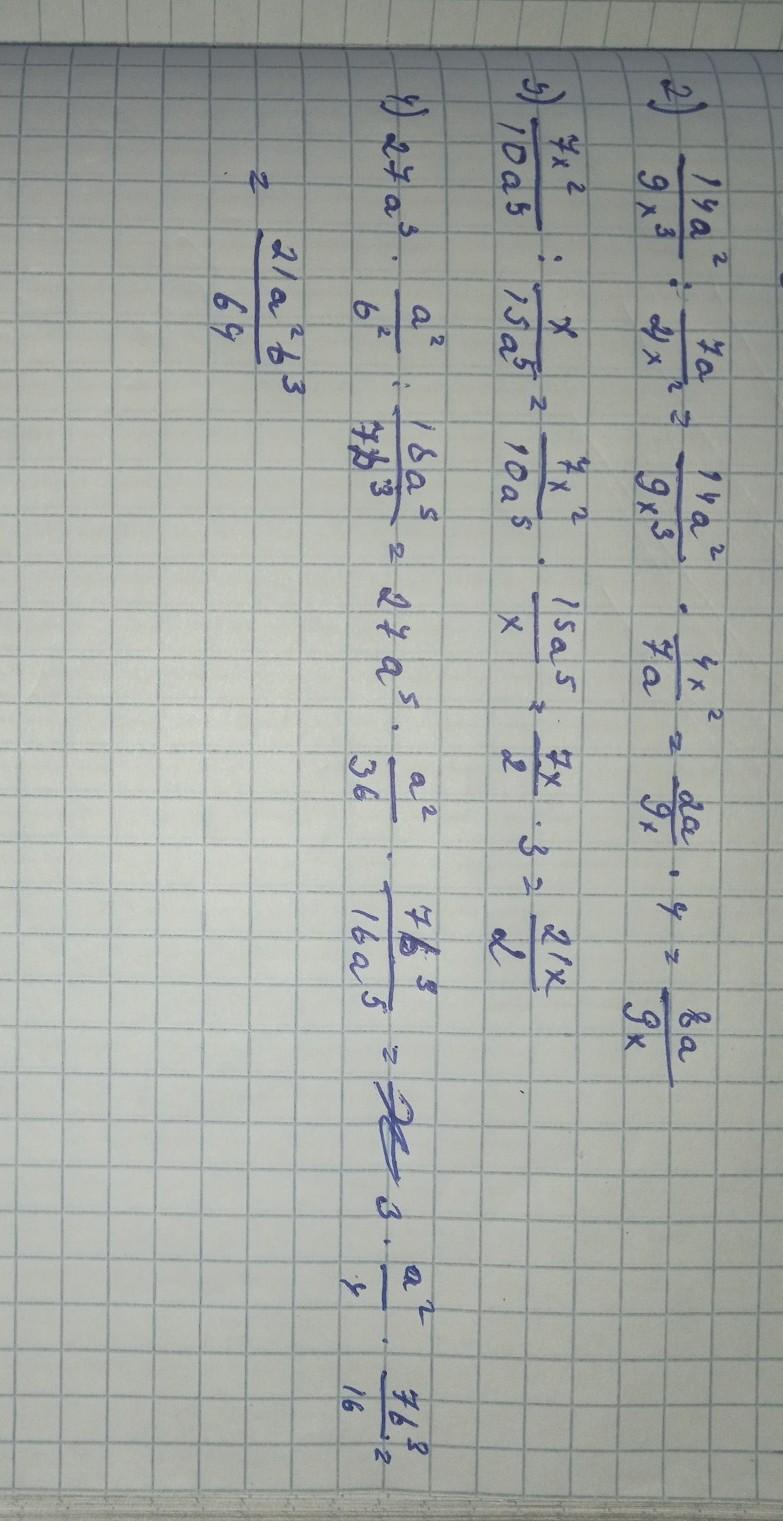
3. Выполните действия над дробями:
Пожалуйста помогите даю 20 балов

Приложения:

Ответы

Ответ дал: mirabajbulsyn
1

Ответ:

вот держи)

Объяснение:

сьчдхыьваоыхцжч

Приложения:
Вас заинтересует