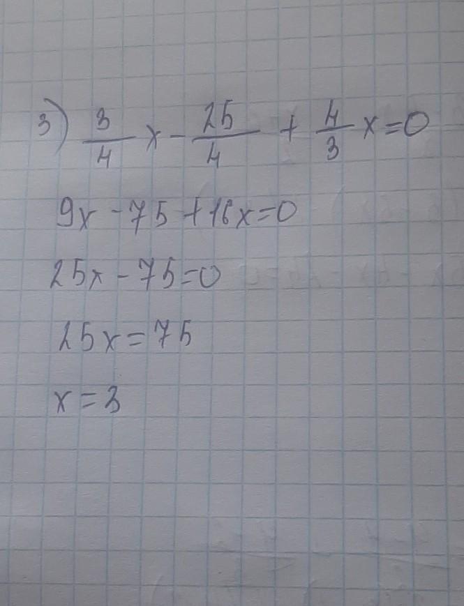
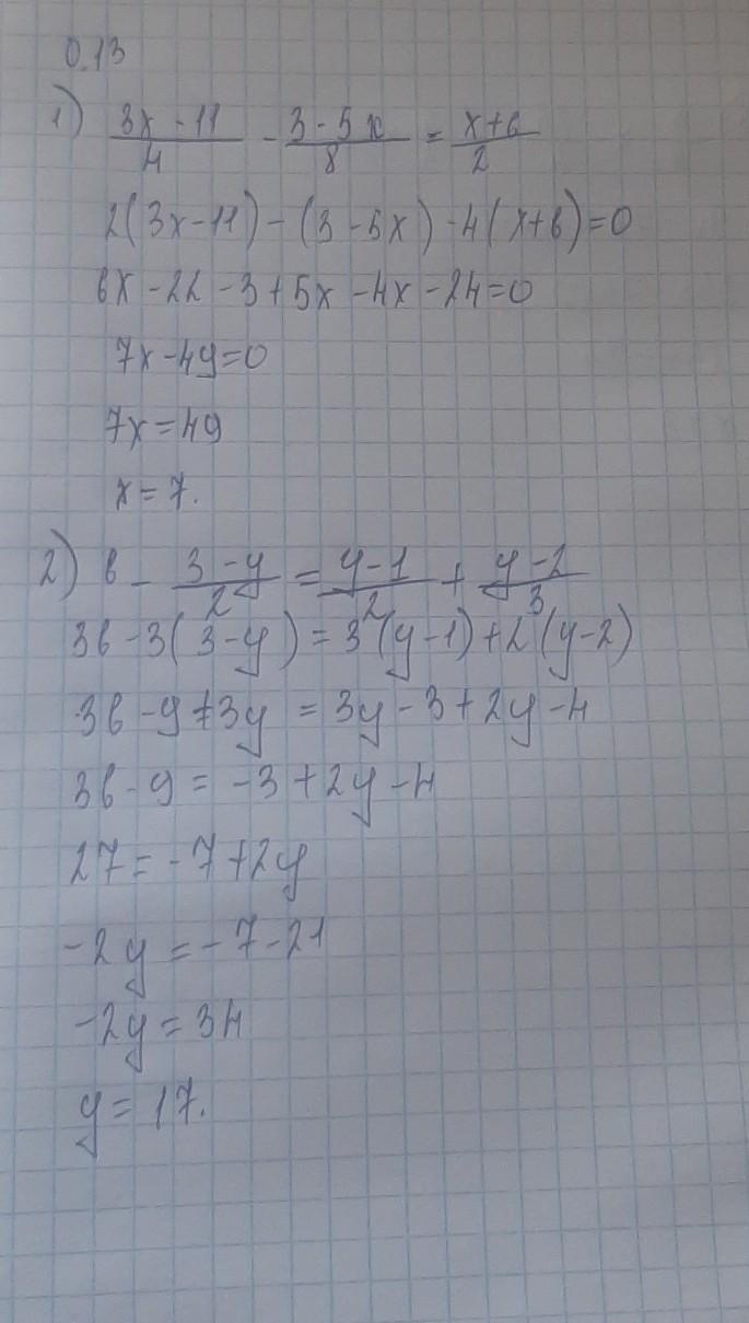
помогите решить 4) решать не нужно, а остлаьное все по действиям
Приложения:

yaoichigggg:
помогите аожалуйста =(
Ответы
Ответ дал:
1
Объяснение:
**************************************
Приложения:


Вас заинтересует
2 года назад
2 года назад
3 года назад
3 года назад
8 лет назад
8 лет назад