• Предмет: Математика
  • Автор: fw7qn4w7dk
  • Вопрос задан 8 лет назад

Помогите,умоляю:(((((

Приложения:

Ilyazov45: Упростить?
fw7qn4w7dk: Да

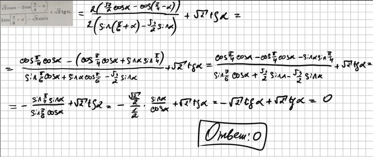
Ответы

Ответ дал: Ilyazov45
1

Ответ:

0

Пошаговое объяснение:

------------------------------------------

Приложения:
Вас заинтересует