Ответы
Ответ дал:
1
Ответ:
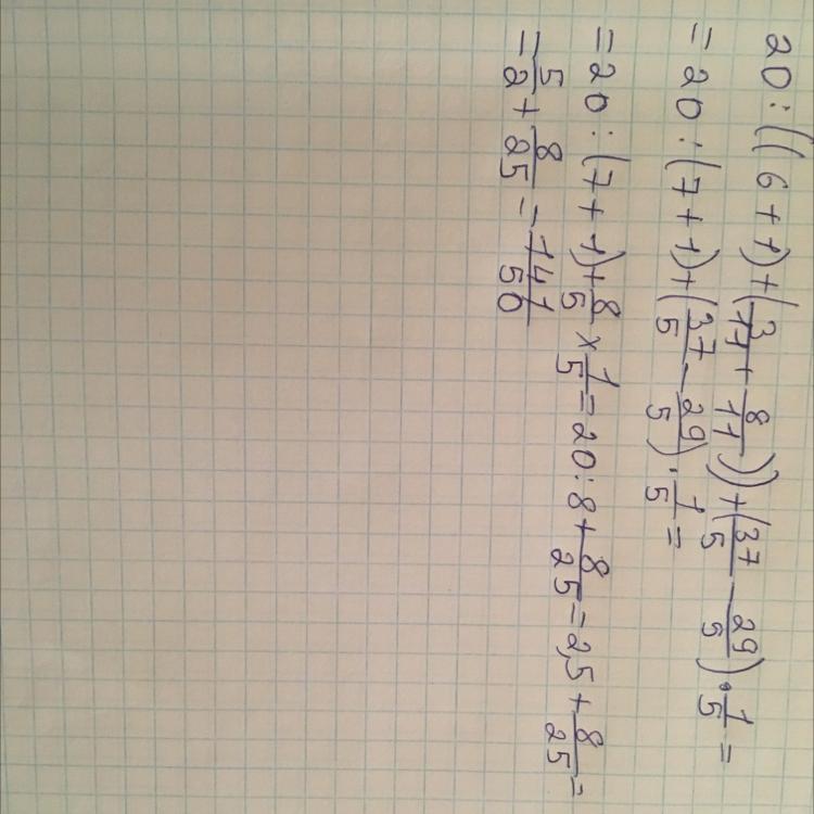
Решение на фотографии всё подробно
Приложения:

Ответ дал:
0
Не знаю правильное ли решение, но ответ точно правильный, решение у вас может быть дургое но лично я решаю так.
Приложения:

Вас заинтересует
2 года назад
2 года назад
3 года назад
3 года назад
8 лет назад
8 лет назад
9 лет назад
(3+5)+(2+2)=
1)3+5=8
2)2+2=4
3)8+4=12