• Предмет: Алгебра
  • Автор: devo4ka1314
  • Вопрос задан 8 лет назад

помогите пожалуйста 0.26 срочно ​

Приложения:

vilya1808: щя закину

Ответы

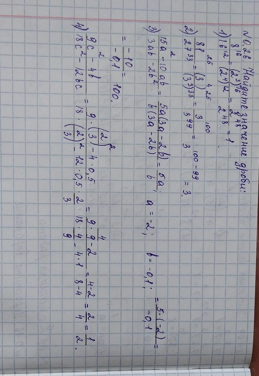
Ответ дал: vilya1808
2

Ответ:

держи, ответ на фото))

Объяснение:

не благодари)))

Приложения:

devo4ka1314: спасибо большое
vilya1808: пожалуйста
Вас заинтересует