• Предмет: Алгебра
  • Автор: 098651
  • Вопрос задан 8 лет назад

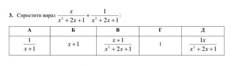
помогите пожалуйста.​

Приложения:

Ответы

Ответ дал: arssensharifullin
0

Ответ:

В

Объяснение:

ОБЩ Знаменатель тот же и умножашь числители на 1

Вас заинтересует