• Предмет: Алгебра
  • Автор: professormedvezonok
  • Вопрос задан 8 лет назад

решите систему уравнений!!!!!!!​

Приложения:

vimmortal2: неравенств?
professormedvezonok: ой да, случайно нажала т9

Ответы

Ответ дал: Ilyazov45
1

----------------------------------

Приложения:

Аноним: кто-нибудь пожалуйста помогите по алгебре
Аноним: кто-нибудь пожалуйста помогите по алгебре пожалуйста помогите по алгебре
Аноним: кто-нибудь
Аноним: прошу пж
Аноним: умоляю пж
Ответ дал: vimmortal2
1

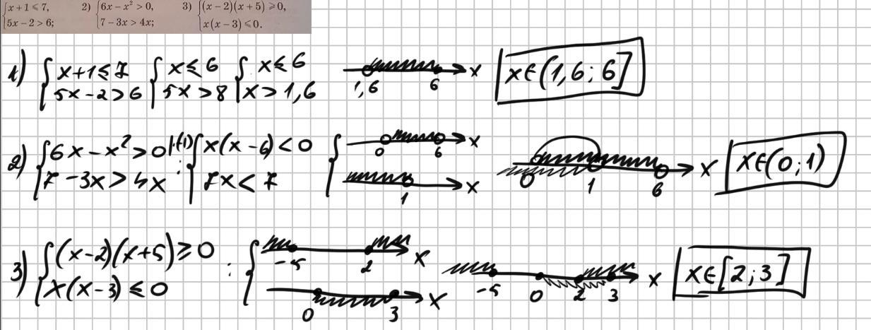
Ответ:

1) x ∈ (1,6; 6]

2) x ∈ (0; 1)

3) x ∈ [2; 3]

Объяснение:

На фото

Приложения:
Вас заинтересует