• Предмет: Алгебра
  • Автор: 8bfx42z2gv
  • Вопрос задан 8 лет назад

РЕБЯТА ПОМОГИТЕ РЕШИТЬ ПРИМЕРЫ С ОБЪЯСНЕНИЕМ ДАЮ 20 БАЛЛОВ! (Именно как решать)

Приложения:

Ответы

Ответ дал: yaoichigggg
1

Ответ:

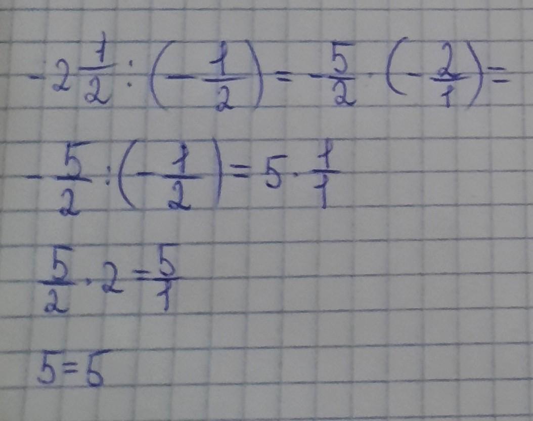
на фото ответ, надеюсь видно

Приложения:
Вас заинтересует