• Предмет: Математика
  • Автор: kruriyamaps
  • Вопрос задан 8 лет назад

Решите уравнение!
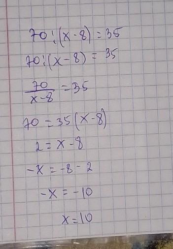
70:(х-8)=35 даю 40 баллов

Приложения:

svetlanahegai: какие 40?
svetlanahegai: тут и 20 нет

Ответы

Ответ дал: svetlanahegai
1

70:(х-8)=35

x-8=70:35

x-8=2

x=2+8

x=10

Ответ дал: Kerimbaiva
2

Всё решила.Теперь пиши но только аккуратно

Приложения:
Вас заинтересует