• Предмет: Алгебра
  • Автор: nassyran015
  • Вопрос задан 8 лет назад

решите уравнение пожалуйста помогите:
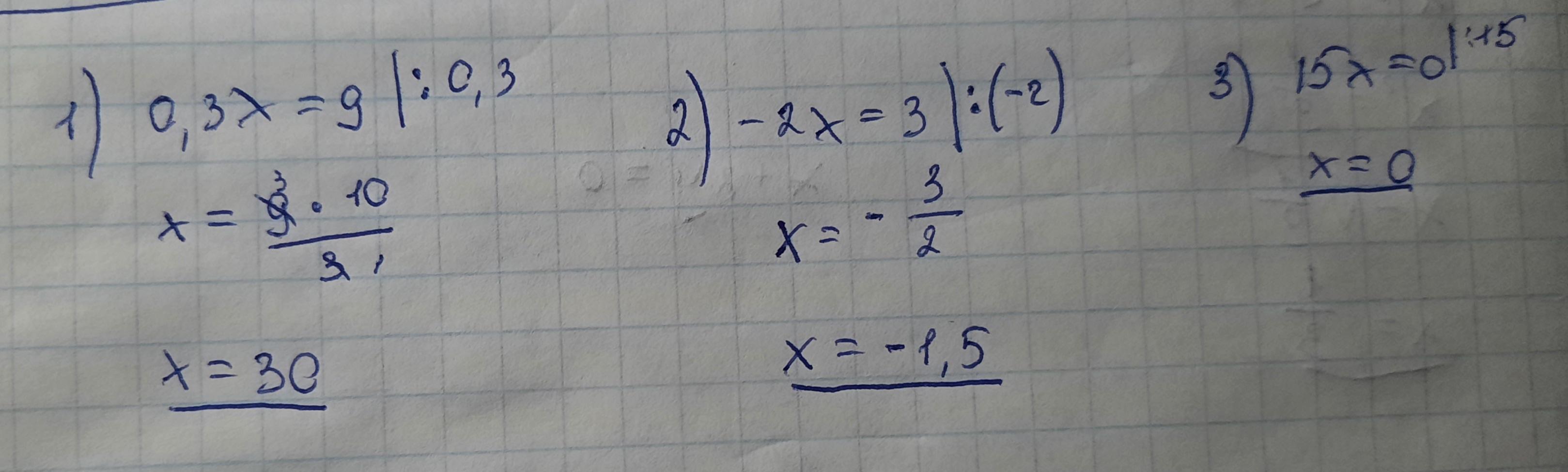
1)0,3x=9
2)-2x=3
3)15x=0​


Аноним: ответьте на мой вопрос по алгебре пожалуйста

Ответы

Ответ дал: kamillaukolova07
0

Надеюсь все понятно написала)

Приложения:
Вас заинтересует