• Предмет: Алгебра
  • Автор: AlpakaXexe
  • Вопрос задан 8 лет назад

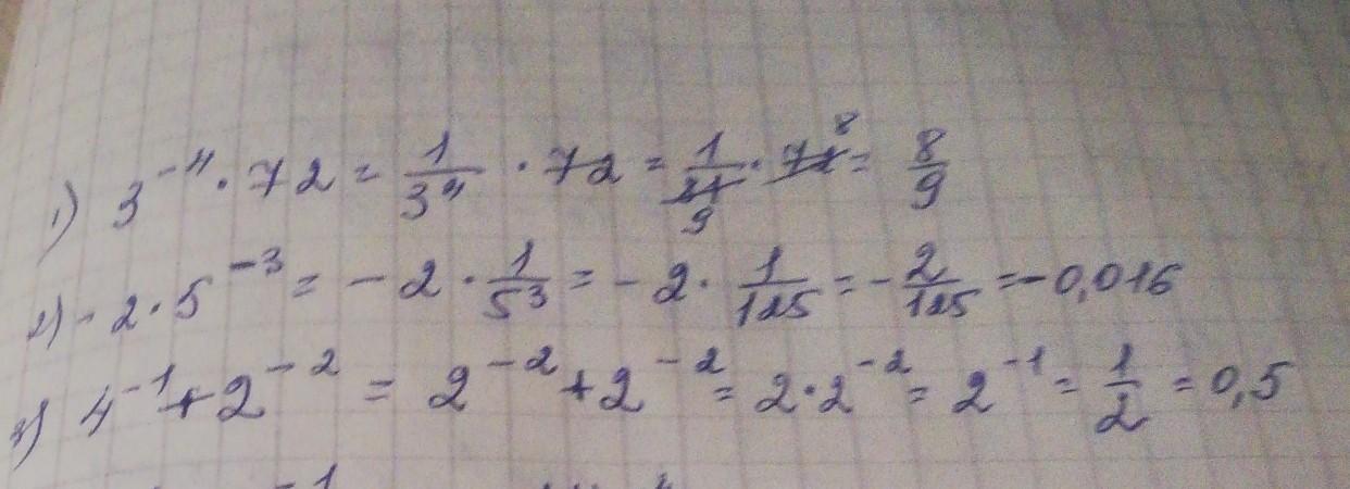
Вычислить : 3-⁴×72=
-2×5-³=
4-¹+2-²=
4-¹-2а-¹-3+(11/3)-⁴(0,1)-⁴+149=
ПОМОГИТЕ ПОЖАЛУЙСТА, Я НИЧЕГО НЕ ПОНИМАЮ , А ЕСЛИ НЕ СДЕЛАЮ , ТО КОЛ ПОСТАВЯТ :{​

Ответы

Ответ дал: larisaserova53
1

Ответ:

Смотри решение на фото выше

Приложения:

larisaserova53: В 4 примере перед (0,1)в минус 4 степени какой знак стоит?
AlpakaXexe: плюс
larisaserova53: Проверьте ещё раз 4 пример, правильно ли записали!
AlpakaXexe: 4-¹-2а-¹-3+(11/3)-⁴×(0,1)-⁴+149
AlpakaXexe: извините за ошибку , я не заметила
larisaserova53: Не знаю, что то получается не то
AlpakaXexe: странно , ну ладно , всё равно спасибо огромное
Вас заинтересует