Помогите, пожалуйста, дорешать.
Алгебра 10 класс
Приложения:

Shvetka2308:
это вы еорему Бещу проходите?
Ответы
Ответ дал:
0
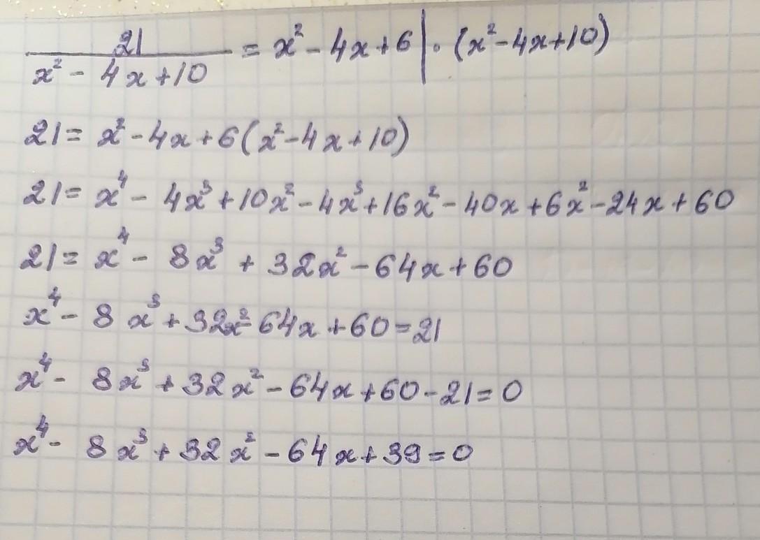
x^2-4x+6=t; x^2-4x+6=(x-2)^2+2-всегда положительно, значит t>2
x^2-4x+10=t+4
21/(t+4)=t
t(t+4)=21
t^2+4t-21=0
D=16+84=100
t1=(-4+10)/2=3
t2<0-не подходит
x^2-4x+6=3
x^2-4x+3=0
D=16-12=4
x1=(4+2)/2=3
x2=(4-2)/2=1
Вас заинтересует
2 года назад
2 года назад
3 года назад
8 лет назад
9 лет назад