Ответы
Ответ дал:
1
Ответ:
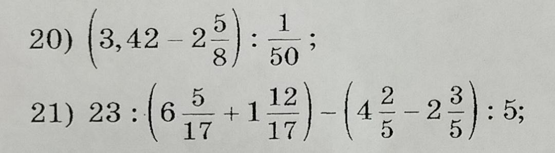
20)3,42 - 2 5/8 = 3,42 - 2,625 = 0,795
21)2,515
Ответ дал:
1
Решение задания прилагаю
Приложения:

Вас заинтересует
2 года назад
2 года назад
3 года назад
3 года назад
8 лет назад
8 лет назад
9 лет назад