• Предмет: Алгебра
  • Автор: mango7499
  • Вопрос задан 8 лет назад

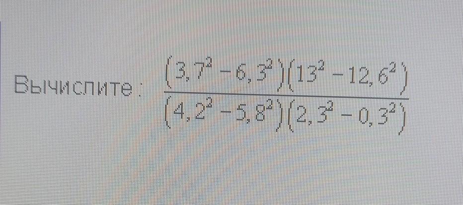
помогите пожалуйста. дам 30 баллов. ​

Приложения:

Ответы

Ответ дал: damishok010614
1

Ответ:

ответ 3,2

Объяснение:

3,7²-6,3²=13,69-39,69=-26

13²-12,6²=169-158,76=10,24

-26×10,24=-266,24

4,2²-5,8²=17,64-33,64=-16

2,3²-0,3²=5,29-0,09=5,2

-16×5,2=-83,2

266,24/83,2=3,2

Вас заинтересует