• Предмет: Математика
  • Автор: BigClowd
  • Вопрос задан 8 лет назад

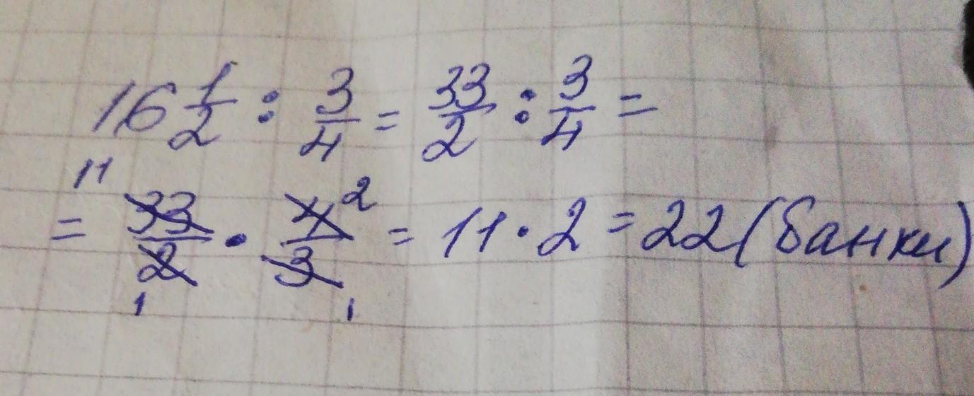
Банка вмещает 3\4 кг варенья.
Сколько таких банок надо взять, чтобы разложить в них 16 1\2 кг варенья?
Ответ:
банки(ок).

Ответы

Ответ дал: larisaserova53
4

Ответ:

Смотри решение на фото выше

Приложения:

ibraevaalma23: спс)
Вас заинтересует