• Предмет: Алгебра
  • Автор: Аноним
  • Вопрос задан 8 лет назад

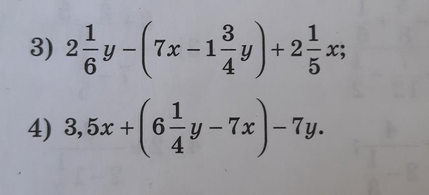
пожалуйста 3 и 4 помоги

Приложения:

Ответы

Ответ дал: larisaserova53
1

Ответ:

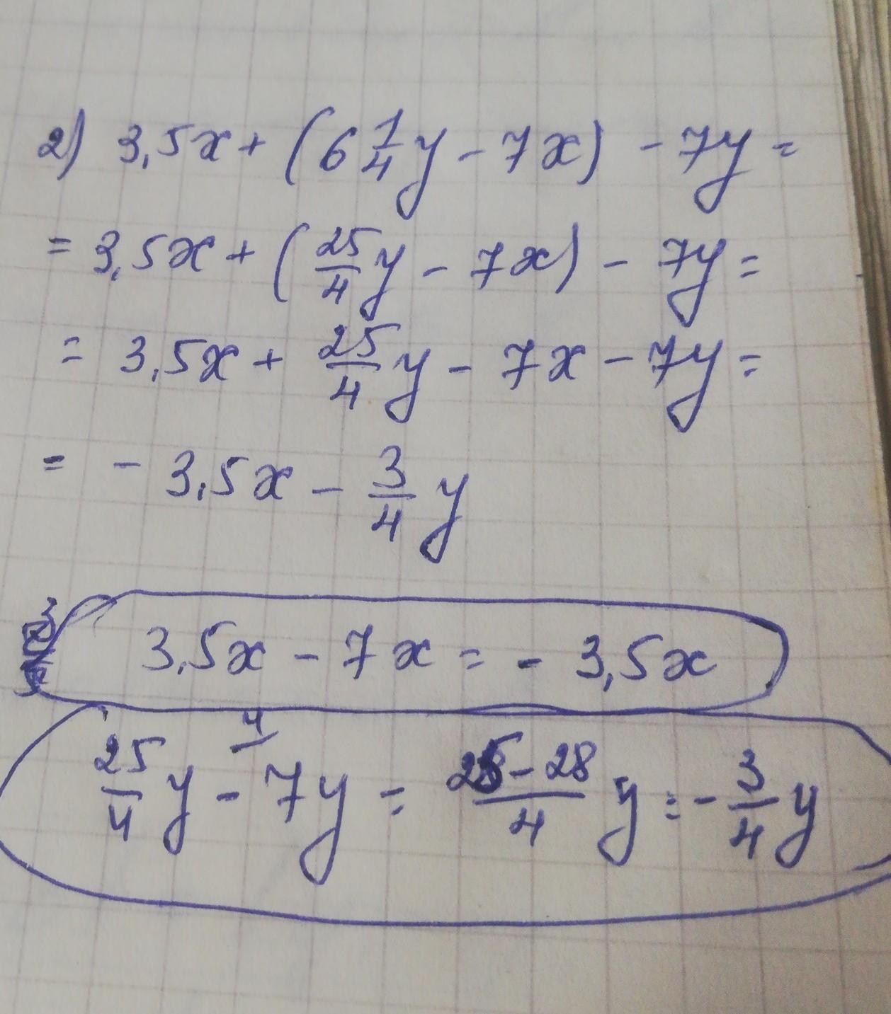
Смотри решение на фото выше

Приложения:

larisaserova53: То, что я округлила, можете не писать, это я написала откуда, что взялось для вас
Ответ дал: Аноним
0
..........................
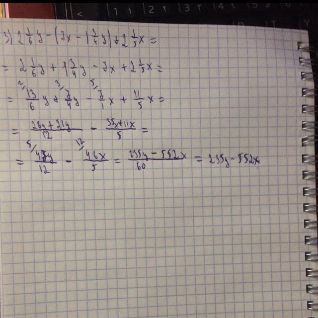
Приложения:

Аноним: Возможно допустил ошибку, не уверен в правильности..
larisaserova53: -35+11=-24
Вас заинтересует